南京艺术学院2023年一志愿硕士研究生拟录取名单公示
- 预约测评
- 提交
南京艺术学院2023年一志愿全日制硕士研究生和部分非全日制硕士研究生拟录取名单公示
经学校审议通过,现对我校2023年一志愿硕士研究生(全日制硕士研究生和部分非全日制硕士研究生)拟录取名单(附后)进行公示。我校将后期与拟录取考生办理调档函的寄发、住宿申请、思想政治素质和品德考核、协议书的签订等手续,之后将根据实际情况陆续寄发录取通知书,请考生及时关注南京艺术学院研究生处网站。公示期为十个工作日,现如有异议,请致电:025-83498798、025-83517761。此为拟录取资格,正式录取资格须经过教育部的录检审核通过后方能确定。成绩查询系统正在制作中,请耐心等待。
南京艺术学院研究生招生办公室2023年4月12日
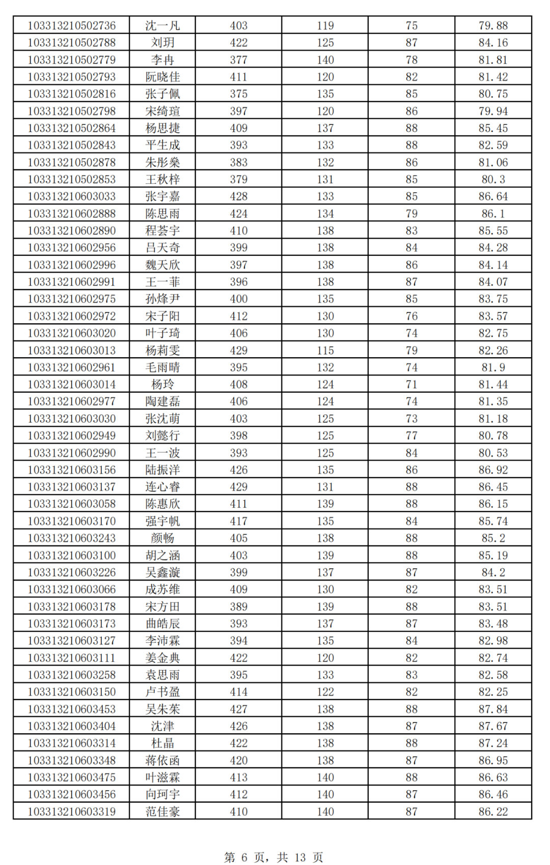
附件:南京艺术学院2023年一志愿全日制硕士研究生和部分非全日制硕士研究生拟录取名单公示













本文系 网站编辑转载,转载目的在于传递更多信息。如涉及作品内容、版权和其它问题,请在30日内与本网联系,我们将在第一时间删除内容!

































































