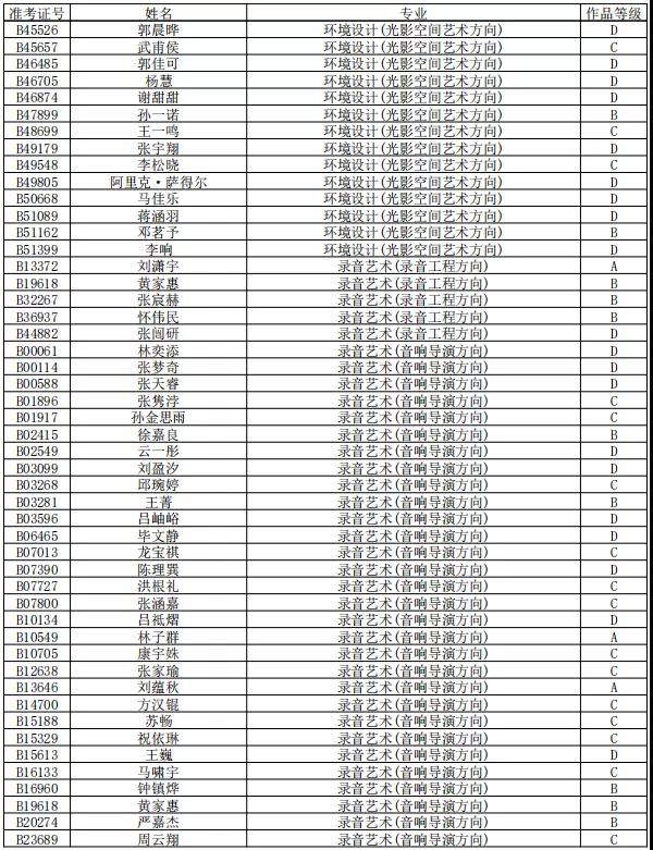
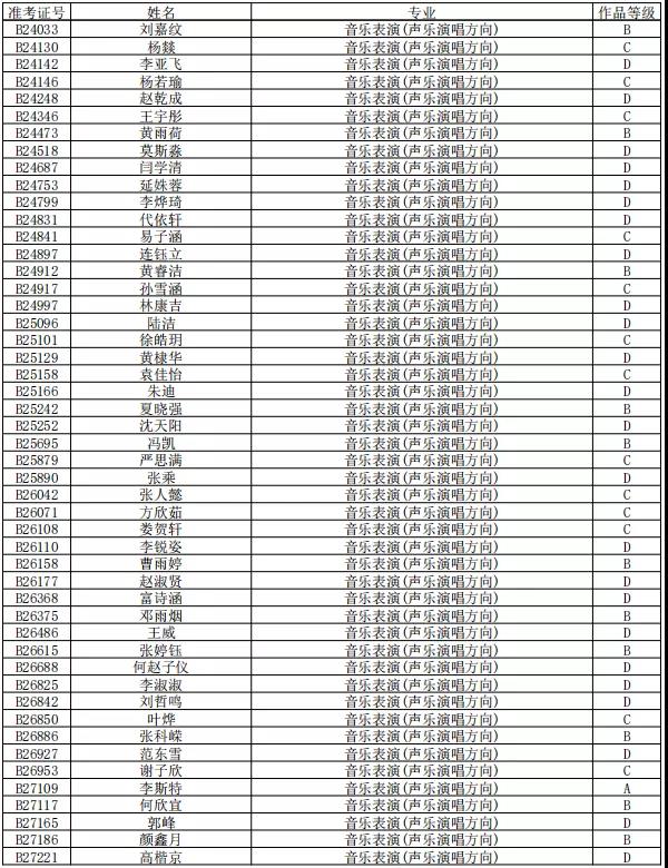
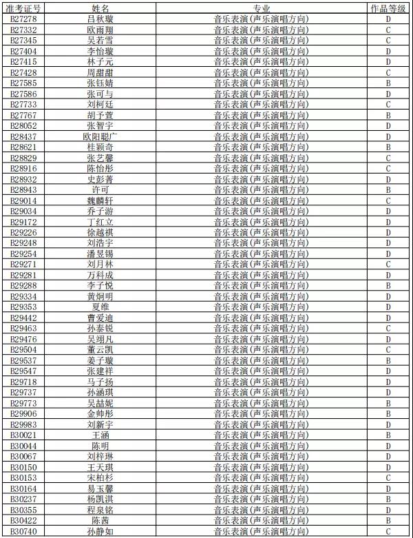
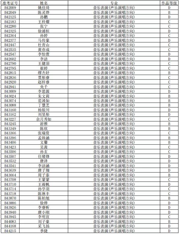
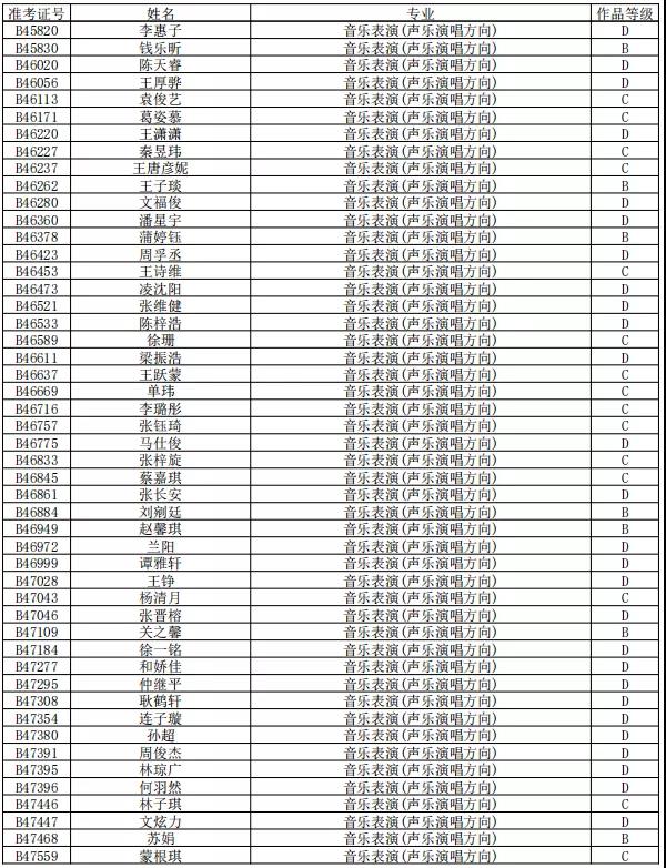
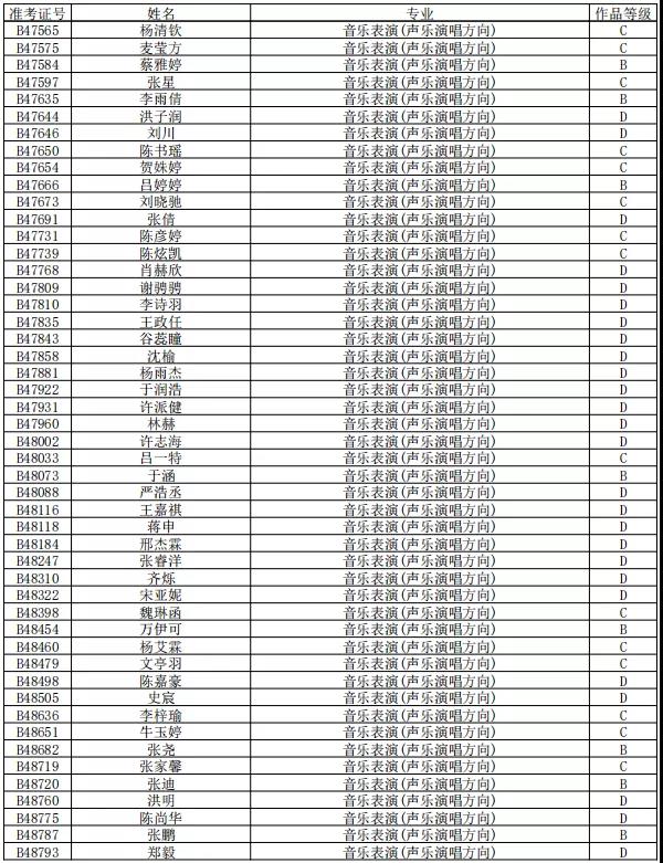
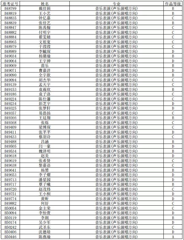
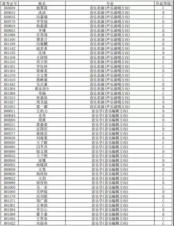
中国传媒大学2022年艺术类“绿色通道”作品评定结果公示
- 预约测评
- 提交
重要提醒:明晚(12月30日)19:00-20:40,中国传媒大学将进行2022年艺术类校考初试文化素养基础测试。18:30开始候考,各位考生按照学校规定时间考试。初试操作流程点击链接:中国传媒大学2022年艺术类本科初试考试须知&考试操作手册 ,即可查看。
中国传媒大学2022年艺术类“绿色通道”作品评定结果公示
现将我校2022年艺术类优质生源“绿色通道”作品评定结果予以公示,公示时间为2021年12月29日-2022年1月2日。如对评定结果有异议,请于2022年1月2日前将有关意见发送至邮箱(cuczsb@cuc.edu.cn)。




























































本文系 网站编辑转载,转载目的在于传递更多信息。如涉及作品内容、版权和其它问题,请在30日内与本网联系,我们将在第一时间删除内容!

































































