浙江音乐学院2021年本科专业录取名单及各专业低成绩
- 预约测评
- 提交
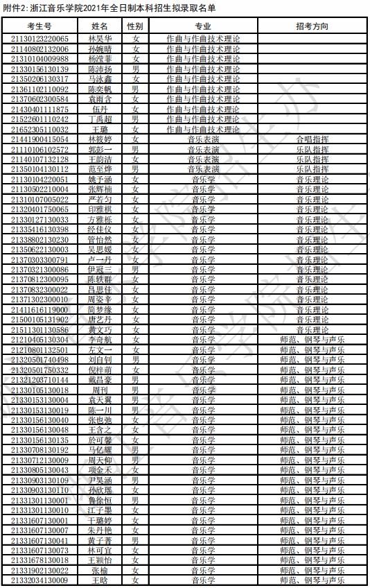
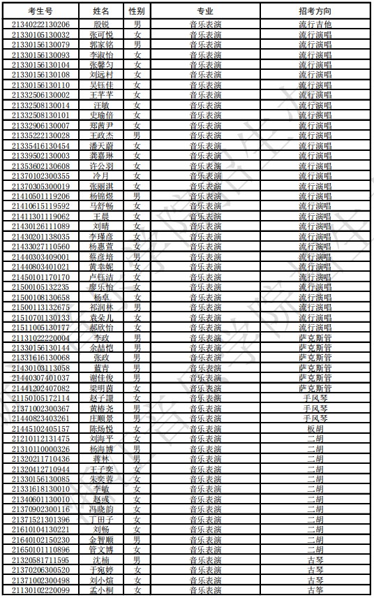
浙江音乐学院2021年全日制本科招生各专业(综合)拟录取低成绩、拟录取名单予以公布。7月下旬,院校将按上级招生主管部门审核通过的正式录取名单办理录取手续,并寄发录取通知书。
浙江音乐学院2021年本科专业拟录取名单及各专业低成绩













本文系 网站编辑转载,转载目的在于传递更多信息。如涉及作品内容、版权和其它问题,请在30日内与本网联系,我们将在第一时间删除内容!
浙江音乐学院2021年全日制本科招生各专业(综合)拟录取低成绩、拟录取名单予以公布。7月下旬,院校将按上级招生主管部门审核通过的正式录取名单办理录取手续,并寄发录取通知书。













本文系 网站编辑转载,转载目的在于传递更多信息。如涉及作品内容、版权和其它问题,请在30日内与本网联系,我们将在第一时间删除内容!
小号艺考培训导师
中央音乐学院硕士
小号艺考培训导师赵本航:中国歌剧舞剧院交响乐团小号副首席;在校期间获娃哈哈奖学金。2011年获中国国际小号艺术周独奏比赛金奖。2012年任中国青年交响乐团小号首席并随团赴德国奥地利、韩国演出。2014年赴俄罗斯参加中俄青年文化年开幕式演出。2015年获亚太杯器乐比赛小号组第三名
免费体验一节课
指挥艺考导师
中央音乐学院硕士
指挥艺考培训导师马老师:中央音乐学院青年指挥教师;先后与中央民族乐团、中国歌剧舞剧院交响乐团、上海民族乐团等职业乐团合作。并多次带领北京大学民族乐团、中国人民大学民族乐团、北京三十五中金帆乐团获得北京市艺术展演比赛一等奖。
免费体验一节课
CAL MUSIC
WESTERN INSTRUMENTAL MUSIC
NATIONAL INSTRUMENTAL MUSIC