哈尔滨音乐学院2021年本科专业合格名单公布
- 预约测评
- 提交
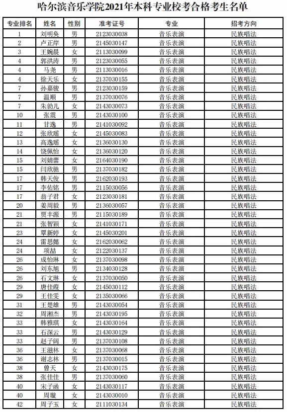
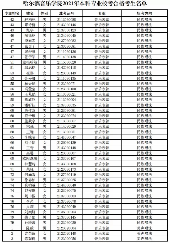
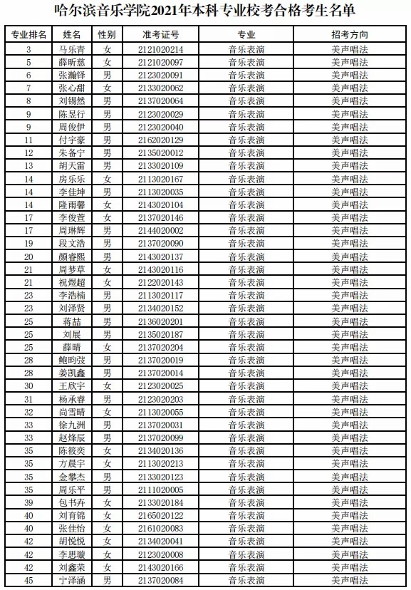
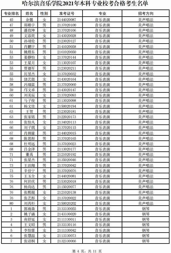
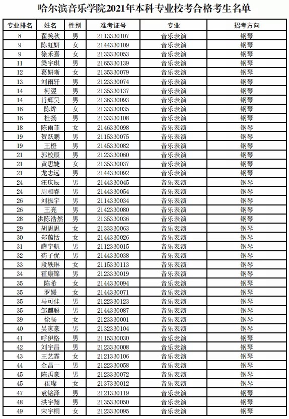
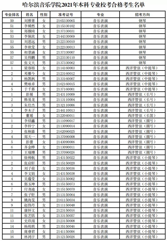
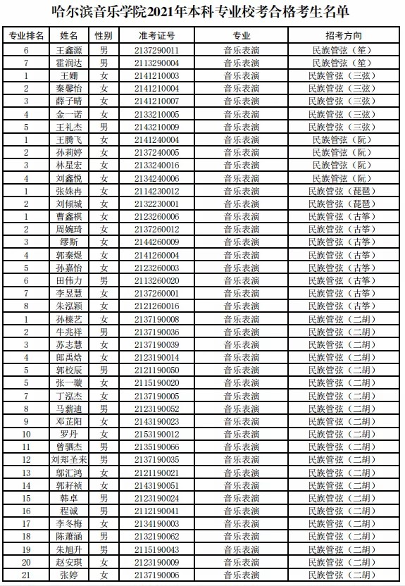
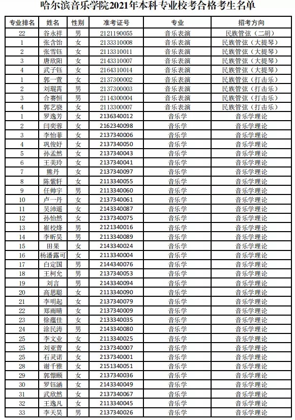
哈尔滨音乐学院2021年本科专业合格名单
根据《哈尔滨音乐学院2021年本科招生简章》要求,按照学院2021年本科专业校考相关规定,经招生领导小组研究决定,现将哈尔滨音乐学院2021年本科招生专业校考合格考生名单公示如下(见附件),公示期5天,自2021年4月9日至4月13日。音乐学专业(演艺产业管理方向)合格名单已于2021年2月4日在我院官方网站公布,本次不再重复。
我院不统一寄发校考合格证,合格考生亦不须另行打印合格证。合格考生高考文化课分数达到各生源省份艺术类本科较低控制分数线后,根据考生志愿,我院将根据正式发布的招生计划数和《哈尔滨音乐学院2021年本科招生简章》中的录取规则进行录取。
咨询电话:0451-58597688
电子邮箱:hyjwc58597688@163.com















2022届音乐生想考哈尔滨音乐学院的同学,现在就应该开始备考。越早了解专业相关知识,越早规划备考,专业水平提升空间和时间越充足。如果你不清楚自己是否适合艺考,不知道怎么选择专业,对艺考之路迷茫,不妨找专业老师帮你全方位测评规划,解决你所有的艺考疑问。拨打免费热线4008018817即可咨询。
本文系 网站编辑转载,转载目的在于传递更多信息。如涉及作品内容、版权和其它问题,请在30日内与本网联系,我们将在第一时间删除内容!

































































