1月开考!中央音乐学院2021年校考采用线上线下相结合方式!
- 预约测评
- 提交
中央音乐学院2021年本科专业招考公告
小音划重点啦!
声乐歌剧系考试方式:一试提交视频,后续轮次现场考试
视频提交时间:2021年1月中旬
初试结果公布时间:2021年2月10日前
其他系考试方式:现场考试
变化:中央音乐学院2021年民乐系增加箜篌专业,2020年无计划。

为落实《国务院关于深化考试招生制度改革的实施意见》,深入贯彻教育大会和《办公厅关于做好2021年普通高校部分特殊类型招生工作的通知》精神,做好新冠肺炎防控常态化下的招生考试工作,根据我校办学定位及培养特点,经研究决定,2021年本科招生专业考试办法如下:
一、拟招生专业(招考方向)
1.音乐表演专业:指挥、钢琴、爵士钢琴、手风琴、管风琴、钢琴调律与修复、小提琴、中提琴、大提琴、低音提琴、长笛、双簧管、单簧管、巴松、萨克斯管、圆号、小号、长号、大号、竖琴、西洋打击乐、古典吉他、二胡、板胡、琵琶、阮、柳琴、三弦、筝、扬琴、古琴、箜篌、笛子、笙、唢呐、管子、民族打击乐、女高音、女中音、男高音、男中音、提琴制作
2.音乐学专业:音乐学、音乐艺术管理、音乐教育、音乐治疗
3.作曲与作曲技术理论专业:作曲、视唱练耳、电子音乐作曲、电子音乐制作、音乐录音
二、招生办法及考试形式
按照上级对于防疫防控工作的部署和安排,结合我校人才选拔特点,本着注重科学、严守公平的原则,我校2021年本科招生专业考试采取线上与现场考试相结合的方式进行。
声乐歌剧系各招考方向:声乐歌剧系初试一轮以提交视频的方式进行,拟于2021年1月中旬要求考生提交视频,2月10日前公布初试一轮结果;声乐歌剧系后续轮次的考试以现场考试方式进行。
作曲系、指挥系、音乐学系、音乐教育学院、钢琴系、管弦系、民乐系、提琴制作研究中心、音乐人工智能与音乐信息科技系各招考方向所有考试均以现场考试方式进行。
我校2021年本科招生考试报名时间、各专业招生名额、考试内容、录取原则等内容,均以我校正式公布的2021年本科招生简章为准。招生简章发布时间以上级统一安排为准,请考生密切关注。如遇重大突发,我校将根据上级要求随时做出调整。
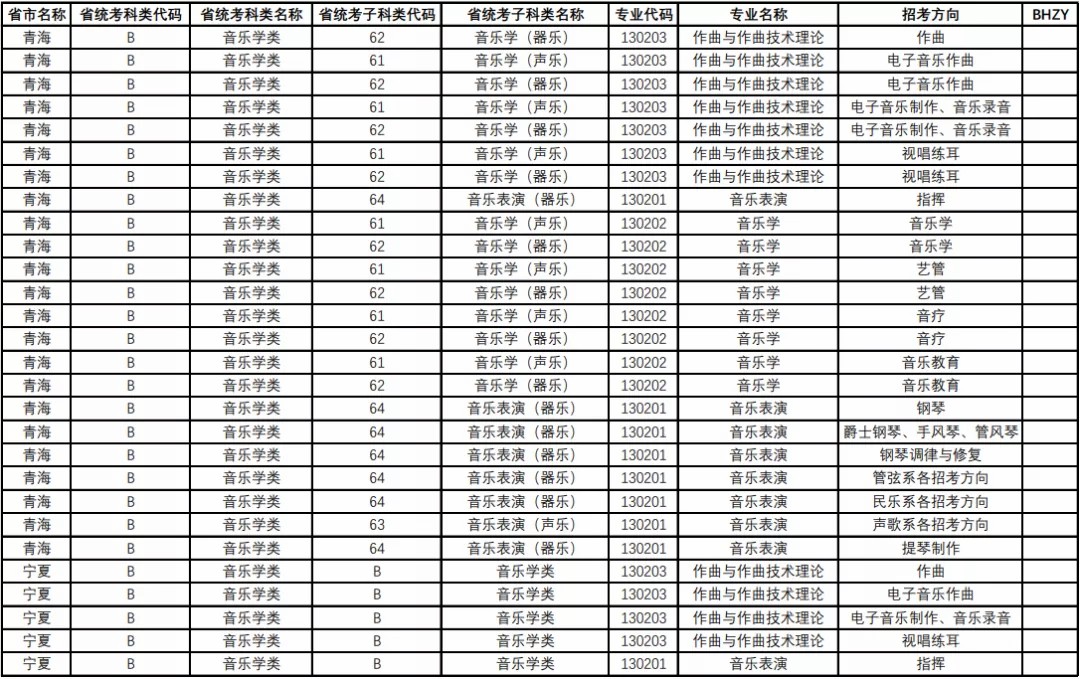
三、各招生专业与艺术类省级统考的对应关系
依据有关文件精神,艺术类专业考试分为省级统考和校考。考生所报考专业属于艺术类省级统考涵盖范围内的,应按照各省有关招生规定执行且成绩合格。报考我校的专业是否涉及省统考以及涉及哪一类省统考,请考生参照《中央音乐学院2021年艺术类本科各专业(招考方向)与各省级艺术类统考子科类对应参照表》(详见我校本科招生网站zhaoban.ccom.edu.cn)。
本公告公示以后,若或者考生所在省级招生考试机构对艺术类招生考试政策有其它补充规定,则遵照有关规定执行。
中央音乐学院2021年本科专业与各省级艺术类统考子科类对应参照表






















本文系 网站编辑转载,转载目的在于传递更多信息。如涉及作品内容、版权和其它问题,请在30日内与本网联系,我们将在第一时间删除内容!

































































